This article was co-authored by wikiHow Staff. Our trained team of editors and researchers validate articles for accuracy and comprehensiveness. wikiHow's Content Management Team carefully monitors the work from our editorial staff to ensure that each article is backed by trusted research and meets our high quality standards.
This article has been viewed 140,996 times.
Learn more...
Exponential functions are a special category of functions that involve exponents that are variables or functions. Using some of the basic rules of calculus, you can begin by finding the derivative of a basic functions like . This then provides a form that you can use for any numerical base raised to a variable exponent. Expanding this work, you can also find the derivative of functions where the exponent is itself a function. Finally, you will see how to differentiate the “power tower,” a special function in which the exponent matches the base.
Steps
Differentiating General Exponential Functions
-
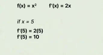
1Begin with a general exponential function. Begin with a basic exponential function using a variable as the base. By calculating the derivative of the general function in this way, you can use the solution as model for a full family of similar functions.[1]
-
2Take the natural logarithm of both sides. You need to manipulate the function to help find a standard derivative in terms of the variable . This begins by taking the natural logarithm of both sides, as follows:Advertisement
-
3Eliminate the exponent. Using the rules of logarithms, this equation can be simplified to eliminate the exponent. The exponent within the logarithm function can be removed as a multiple in front of the logarithm, as follows:
-
4Differentiate both sides and simplify. The next step is to differentiate each side with respect to . Because is a constant, then is also a constant. The derivative of simplifies to 1, and the term disappears. The steps are as follows:
-
5Simplify to solve for the derivative. Multiply both sides by y to isolate the derivative. Using basic steps of algebra, multiply both sides of this equation by . This will isolate the derivative of on the left side of the equation. Then recall that , so substitute that value on the right side of the equation. The steps look like this:
-
6Interpret the final result. Recalling that the original function was the exponential function , this solution shows that the derivative of the general exponential function is .
- This can be expanded for any value of , as in the following examples:
- This can be expanded for any value of , as in the following examples:
Extending the Proof for the Derivative of ex
-
1Choose the special example. The prior section showed how to differentiate the general case of an exponential function with any constant as the base. Next, select the special case where the base is the exponential constant .[2]
- is the mathematical constant that is approximately equal to 2.718.
- For this derivation, select the special function .
-
2Use the proof of the general exponential function derivative. Recall, from the prior section, that the derivative of a general exponential function is . Apply this result to the special function as follows:[3]
-
3Simplify the result. Recall that the natural logarithm is based on the special constant . Therefore, the natural logarithm of is just 1. This simplifies the derivative result as follows:[4]
-
4Interpret the final result. This proof leads to the special case that the derivative of the function is that very function itself. Thus:[5]
Finding the Derivative of e with a Functional Exponent
-
1Define your function. For this example, you will find the general derivative of functions that have raised to an exponent, when the exponent itself is a function of .[6]
- As an example, consider the function .
-
2Define the variable . This solution is going to involve the chain rule of derivatives. Recall that the chain rule applies when you have one function, nested inside another, , as you have here. The chain rule states:[7]
- In summary, you will define the exponent as a separate function .
- For this example, the exponent is the nested function . Thus, for this example:
- , and
-
3Apply the chain rule. The chain rule requires you to find the derivatives of both functions and . The resulting derivative is then the product of those two.[8]
- The two separate derivatives are:
- . (Remember that the derivative of is .)
- After finding the two separate derivatives, combine them to find the derivative of the original function:
-
- The two separate derivatives are:
-
4Practice another example of with a functional exponent. Select another example, .[9]
- Define the nested function. In this case, .
- Find the derivatives of the functions and .
- Combine using the chain rule:
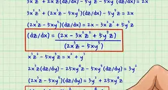
Finding the Derivative of xx
-
1Define the function. For this special example, sometimes called the “power tower,” choose the function such that:[10]
-
2Find the natural logarithm of each side. As before, the solution here begins with the natural logarithm of each side of the equation:[11]
-
3Take the derivative of each side of the equation. On the right side of this equation, you will need to apply the product rule of derivatives. Recall that the product rule states that if , then .[12]
-
4Multiply each side by y. Isolate the derivative term on the right by multiplying both sides of the equation by y.[13]
-
5Replace the original value of y. Recall from the first step that the function is . Replacing this term in place of is the last step to find the derivative.[14]
References
- ↑ http://www.themathpage.com/acalc/exponential.htm#expo
- ↑ http://www.themathpage.com/acalc/exponential.htm#expon
- ↑ http://www.themathpage.com/acalc/exponential.htm#expon
- ↑ http://www.themathpage.com/acalc/exponential.htm#expon
- ↑ http://www.themathpage.com/acalc/exponential.htm#expon
- ↑ http://www.themathpage.com/acalc/exponential.htm#variable-exp
- ↑ http://www.sosmath.com/calculus/diff/der04/der04.html
- ↑ http://www.sosmath.com/calculus/diff/der04/der04.html
- ↑ http://www.themathpage.com/acalc/exponential.htm#variable-exp
- ↑ http://www.slideshare.net/leingang/lesson-16-derivatives-of-exponential-and-logarithmic-functions
- ↑ http://www.slideshare.net/leingang/lesson-16-derivatives-of-exponential-and-logarithmic-functions
- ↑ http://www.slideshare.net/leingang/lesson-16-derivatives-of-exponential-and-logarithmic-functions
- ↑ http://www.slideshare.net/leingang/lesson-16-derivatives-of-exponential-and-logarithmic-functions
- ↑ http://www.slideshare.net/leingang/lesson-16-derivatives-of-exponential-and-logarithmic-functions















































































































