wikiHow is a “wiki,” similar to Wikipedia, which means that many of our articles are co-written by multiple authors. To create this article, 44 people, some anonymous, worked to edit and improve it over time.
There are 7 references cited in this article, which can be found at the bottom of the page.
This article has been viewed 2,207,250 times.
Learn more...
The domain of a function is the set of numbers that can go into a given function. In other words, it is the set of x-values that you can put into any given equation. The set of possible y-values is called the range. If you want to know how to find the domain of a function in a variety of situations, just follow these steps.
Things You Should Know
- The domain of a function is the set of input values (x) for which the function produces an output value (y).
- Solve for the domain depending on things like whether there is a variable in the denominator or inside a radical sign.
- Notate the domain as 2 endpoints separated by a comma. Use brackets if the point(s) is included in the domain, or parentheses if not.
Steps
Learning the Basics
-
1Learn the definition of the domain. The domain is defined as the set of input values for which the function produces an output value. In other words, the domain is the full set of x-values that can be plugged into a function to produce a y-value.
-
2Learn how to find the domain of a variety of functions. The type of function will determine the best method for finding a domain. Here are the basics that you need to know about each type of function, which will be explained in the next section:
- A polynomial function without radicals or variables in the denominator. For this type of function, the domain is all real numbers.
- A function with a fraction with a variable in the denominator. To find the domain of this type of function, set the bottom equal to zero and exclude the x value you find when you solve the equation.
- A function with a variable inside a radical sign. To find the domain of this type of function, just set the terms inside the radical sign to >0 and solve to find the values that would work for x.
- A function using the natural log (ln). Just set the terms in the parentheses to >0 and solve.
- A graph. Check out the graph to see which values work for x.
- A relation. This will be a list of x and y coordinates. Your domain will simply be a list of x coordinates.
Advertisement -
3Correctly state the domain. The proper notation for the domain is easy to learn, but it is important that you write it correctly to express the correct answer and get full points on assignments and tests. Here are a few things you need to know about writing the domain of a function:
- The format for expressing the domain is an open bracket/parenthesis, followed by the 2 endpoints of the domain separated by a comma, followed by a closed bracket/parenthesis.[1]
- For example, [-1,5). This means that the domain goes from -1 to 5.
-
Use brackets such as [ and ] to indicate that a number is included in the domain.
- So in the example, [-1,5), the domain includes -1.
-
Use parentheses such as ( and ) to indicate that a number is not included in the domain.
- So in the example, [-1,5), 5 is not included in the domain. The domain stops arbitrarily short of 5, i.e. 4.999…
-
Use “U” (meaning "union") to connect parts of the domain that are separated by a gap.'
- For example, [-1,5) U (5,10]. This means that the domain goes from -1 to 10, inclusive, but that there is a gap in the domain at 5. This could be the result of, for example, a function with “x - 5” in the denominator.
- You can use as many "U" symbols as necessary if the domain has multiple gaps in it.
-
Use infinity and negative infinity signs to express that the domain goes on infinitely in either direction.
- Always use ( ), not [ ], with infinity symbols.
-
Keep in mind that this notation may be different depending on where you live.
- The rules outlined above apply to the UK and USA.
- Some regions use arrows instead of infinity signs to express that the domain goes on infinitely in either direction.
- Usage of brackets varies wildly across regions. For example, Belgium uses reverse square brackets instead of round ones.
- The format for expressing the domain is an open bracket/parenthesis, followed by the 2 endpoints of the domain separated by a comma, followed by a closed bracket/parenthesis.[1]
Finding the Domain of a Function with a Fraction
-
1Write the problem. Let's say you're working with the following problem:
- f(x) = 2x/(x2 - 4)
-
2Set the denominator equal to zero for fractions with a variable in the denominator. When finding the domain of a fractional function, you must exclude all the x-values that make the denominator equal to zero, because you can never divide by zero. So, write the denominator as an equation and set it equal to 0.[2] Here's how you do it:
- f(x) = 2x/(x2 - 4)
- x2 - 4 = 0
- (x - 2 )(x + 2) = 0
- x ≠ (2, - 2)
-
3State the domain. Here's how you do it:
- x = all real numbers except 2 and -2
Finding the Domain of a Function with a Square Root
-
1Write the problem. Let's say you're working with the following problem: Y =√(x-7)
-
2Set the terms inside the radicand to be greater than or equal to 0. You cannot take the square root of a negative number, though you can take the square root of 0. So, set the terms inside the radicand to be greater than or equal to 0.[3] Note that this applies not just to square roots, but to all even-numbered roots. It does not, however, apply to odd-numbered roots, because it is perfectly fine to have negatives under odd roots. Here's how:
- x-7 ≧ 0
-
3Isolate the variable. Now, to isolate x on the left side of the equation, just add 7 to both sides, so you're left with the following:[4]
- x ≧ 7
-
4State the domain correctly. Here is how you would write it:
- D = [7,∞)
-
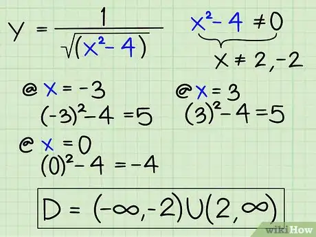
5Find the domain of a function with a square root when there are multiple solutions. Let's say you're working with the following function: Y = 1/√( ̅x2 -4). When you factor the denominator and set it equal to zero, you'll get x ≠ (2, - 2). Here's where you go from there:
- Now, check the area below -2 (by plugging in -3, for example), to see if the numbers below -2 can be plugged into the denominator to yield a number higher than 0. They do.
- (-3)2 - 4 = 5
- Now, check the area between -2 and 2. Pick 0, for example.
- 02 - 4 = -4, so you know the numbers between -2 and 2 don't work.
- Now try a number above 2, such as +3.
- 32 - 4 = 5, so the numbers over 2 do work.
- Write the domain when you're done. Here is how you would write the domain:
- D = (-∞, -2) U (2, ∞)
- Now, check the area below -2 (by plugging in -3, for example), to see if the numbers below -2 can be plugged into the denominator to yield a number higher than 0. They do.
Finding the Domain of a Function Using a Natural Log
-
1Write the problem. Let's say you're working with this one:
- f(x) = ln(x-8)
-
2Set the terms inside the parentheses to greater than zero. The natural log has to be a positive number,[5] so set the terms inside the parentheses to greater than zero to make it so. Here's what you do:
- x - 8 > 0
-
3Solve. Just isolate the variable x by adding 8 to both sides.[6] Here's how:
- x - 8 + 8 > 0 + 8
- x > 8
-
4State the domain. Show that the domain for this equation is equal to all numbers greater than 8 until infinity.[7] Here's how:
- D = (8,∞)
Finding the Domain of a Function Using a Graph
-
1Look at the graph.
-
2Check out the x-values that are included in the graph.[8] This may be easier said than done, but here are some tips:
- A line. If you see a non-vertical line on the graph that extends to infinity in both directions, then all versions of x will be covered eventually, so the domain is equal to all real numbers.
- A normal parabola. If you see a parabola that is facing upwards or downwards, then yes, the domain will be all real numbers, because all numbers on the x-axis will eventually be covered.
- A sideways parabola. Now, if you have a parabola with a vertex at (4,0) which extends infinitely to the right, then your domain is D = [4,∞)
-
3State the domain. Just state the domain based on the type of graph you're working with. If you're uncertain and know the equation of the line, plug the x-coordinates back into the function to check.[9]
Finding the Domain of a Function Using a Relation
-
1Write down the relation. A relation is simply a set of ordered pairs. Let's say you're working with the following coordinates: {(1, 3), (2, 4), (5, 7)}
-
2Write down the x coordinates. They are: 1, 2, 5.[10]
-
3State the domain. D = {1, 2, 5}
-
4Make sure the relation is a function. For a relation to be a function, every time you put in one numerical x coordinate, you should get the same y coordinate. So, if you put in 3 for x, you should always get 6 for y, and so on. The following relation is not a function because the x coordinate, 1, has two different corresponding values of y, 4 and 5. {(1,4), (3,5), (1,5)}. [11]
Expert Q&A
-
QuestionHow do you find the domain of a function algebraically?
Mario Banuelos, PhDMario Banuelos is an Assistant Professor of Mathematics at California State University, Fresno. With over eight years of teaching experience, Mario specializes in mathematical biology, optimization, statistical models for genome evolution, and data science. Mario holds a BA in Mathematics from California State University, Fresno, and a Ph.D. in Applied Mathematics from the University of California, Merced. Mario has taught at both the high school and collegiate levels.
Assistant Professor of Mathematics
If your function is a fraction, set the denominator equal to 0 and solve. The domain would then be all real numbers except for whatever input makes your denominator equal to 0. For a square root, set whatever is inside the radical to greater than or equal to 0 and solve, since you can’t use any inputs that produce an imaginary number (i.e., the square root of a negative). -
QuestionCan I find the domain of a function with a calculator?
Mario Banuelos, PhDMario Banuelos is an Assistant Professor of Mathematics at California State University, Fresno. With over eight years of teaching experience, Mario specializes in mathematical biology, optimization, statistical models for genome evolution, and data science. Mario holds a BA in Mathematics from California State University, Fresno, and a Ph.D. in Applied Mathematics from the University of California, Merced. Mario has taught at both the high school and collegiate levels.
Assistant Professor of Mathematics
Yes. You can use a graphing calculator to calculate domain by plotting the function. There are also a variety of domain and range calculators online. Simply input your function to find the domain, which is a set of x-values that will successfully generate y-values. -
QuestionHow do I find the domain of 1/2 tan(90x/2)?
Community AnswerThe function tan(90x/2) is undefined at 90x/2 = pi/2 + pi*n, where n is an integer. Simply solve for x to obtain pi/90 + pi*n/45, where n is an integer.
References
- ↑ http://www.mathwords.com/i/interval_notation.htm
- ↑ https://www.youtube.com/watch?v=MS_vs4IsGN0
- ↑ http://www.mesacc.edu/~scotz47781/mat120/notes/radicals/domain/square_root/square_roots.html
- ↑ http://www.mesacc.edu/~scotz47781/mat120/notes/radicals/domain/square_root/square_roots.html
- ↑ https://www.youtube.com/watch?v=YEJQTmudl14
- ↑ https://www.youtube.com/watch?v=YEJQTmudl14
- ↑ https://www.youtube.com/watch?v=YEJQTmudl14
- ↑ https://courses.lumenlearning.com/ivytech-collegealgebra/chapter/find-domain-and-range-from-graphs/
- ↑ https://courses.lumenlearning.com/ivytech-collegealgebra/chapter/find-domain-and-range-from-graphs/
About This Article
In mathematics, the domain of a function refers to the set of all possible numbers that you can use as inputs, or x-values, in the function. For example, if your function is f(x) = 2x+3, then the domain is any number that you can use in place of x. In this example, and with many other functions, the domain includes all real numbers. However, there are special cases where the domain will be more limited. For instance, if the function includes a fraction with a variable in the denominator, you’ll need to exclude any numbers from your domain that would result in the denominator of the fraction being equal to 0. To figure this out, set the denominator as an equation equal to 0 and solve for x. Let’s say you have a function f(x) = 2x/x^2-4. Start by writing out x^2-4 = 0. Factor the expression to get (x – 2) (x + 2) = 0. When you solve for 0, you’ll get two possible inputs: 2 and -2. This means you must exclude 2 and -2 from the domain. Define the domain as “x = all real numbers except for 2 and -2.” You could also write it as D = (-∞, -2) U (2, ∞). Functions that include natural logs and square roots also require special care when defining the domain. For instance, if the variable is under a square root, you must exclude any values that would result in a negative number under the root sign. The same goes for functions with a natural log. For example, if your function is either f(x) = ln(x – 8) or f(x) = √(x – 8), you’d define the domain as any real number greater than or equal to 8. Another way to write this out is D = [8, ∞). In many cases you can also define the domain of a function by looking at a graph. Look at which values are represented or excluded on the x-axis to help you find the domain. For example, if you’re looking at a graph of a line or a parabola, the domain would be all real numbers, since the graph continues infinitely in both directions. On the other hand, a function with a vertical asymptote at x = 3 would have a domain of all real numbers except for 3. If you want to learn how to find the domain of a function on a coordinate plane, keep reading the article!


























































