This article was co-authored by Jake Adams. Jake Adams is an academic tutor and the owner of Simplifi EDU, a Santa Monica, California based online tutoring business offering learning resources and online tutors for academic subjects K-College, SAT & ACT prep, and college admissions applications. With over 14 years of professional tutoring experience, Jake is dedicated to providing his clients the very best online tutoring experience and access to a network of excellent undergraduate and graduate-level tutors from top colleges all over the nation. Jake holds a BS in International Business and Marketing from Pepperdine University.
There are 10 references cited in this article, which can be found at the bottom of the page.
This article has been viewed 529,075 times.
The slope of a line is a measure of how fast it is changing. This can be for a straight line -- where the slope tells you exactly how far up (positive slope) or down (negative slope) a line goes while it goes how far across. Slope can also be used for a line tangent to a curve. Or, it can be for a curved line when doing Calculus, where slope is also known as the "derivative" of a function. Either way, think of slope simply as the "rate of change" of a graph: if you make the variable "x" bigger, at what rate does "y" change? That is a way to see slope as a cause and an effect event.
Steps
Finding the Slope of a Linear Equation
-
1Use slope to determine how steep, and in what direction (upward or downward), a line goes. Finding the slope of a line is easy, as long as you have or can setup a linear equation. This method works if and only if:[1]
- There are no exponents on the variables
- There are only two variables, neither of which are fractions (for example, you would not have
- The equation can be simplified to the form , where m and b are constants (numbers like 3, 10, -12, ).[2]
-
2Find the number in front of the x, usually written as "m," to determine slope. If your equation is already in the right form, , then simply pick the number in the "m" position (but if there is no number written in front of x then the slope is 1). That is your slope! Note that this number, m, is always multiplied by the variable, in this case an "x." Check the following examples:
-
- Slope = 2
-
- Slope = -1
-
- Slope = [3]
Advertisement -
-
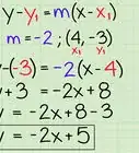
3Reorganize the equation so one variable is isolated if the slope isn't apparent. You can add, subtract, multiply, and more to isolate a variable, usually the "y." Just remember that, whatever you do to one side of the equal sign (like add 3) you must do to the other side as well. Your final goal is an equation similar to . For example:
- Find the slope of
-
Set to the form :
-
Find the slope:
- Slope = M = 4[4]
Finding the Slope with Two Points
-
1Use a graph and two points to find slope without the equation handy. If you've got a graph and a line, but no equation, you can still find the slope with ease. All you need are two points on the line, which you plug into the equation . While finding the slope, keep in mind the following information to help you check if you're on the right track:[5]
- Positive slopes go higher the further right you go.
- Negative slopes go lower the further right you go.
- Bigger slopes are steeper lines. Small slopes are always more gradual.
- Perfectly horizontal lines have a slope of zero.
- Perfectly vertical lines do not have a slope at all. Their slope is "undefined."[6]
-
2Find two points, putting them in simple (x,y) form. Use the graph (or the test question) to find the x and y coordinates of two points on the graph. They can be any two points that the line crosses through. For an example, assume that the line in this method goes through (2,4) and (6,6).[7]
- In each pair, the x coordinate is the first number, the y coordinate comes after the comma.
- Each x coordinate on a line has an associated y coordinate.
-
3
-
4Plug your points into the "Point-Slope Formula" to get your slope. The following formula is used to find slope using any two points on a straight line: . Simply plug in your four points and simplify:[10]
- Original Points: (2,4) and (6,6).
-
Plug into Point Slope:
-
Simplify for Final Answer:
- = Slope
-
5Understand how the Point-Slope Formula works. The slope of a line is “Rise over Run:” how much the line goes up divided by how much the line "runs" to the right. The “rise” of the line is the difference between the y-values (remember, the Y-axis goes up and down), and the “run” of the line is the difference between the x-values (and the X-axis goes left and right).[11]
-
6Recognize other ways you may be tested to find slope. The equation of the slope is . This may also be shown using the Greek letter “Δ”, called “delta”, meaning “difference of”. Slope can also be shown as Δy/Δx, meaning "difference of y / difference of x:" this is the same exact question as "find the slope between
Using Differential Calculus to Find the Slope of a Curve
-
1Review how to take a variety of derivatives from common functions. Derivatives give you the rate of change (or slope) at a single point on a line. The line can be curved or straight -- it doesn't matter. Think of it as how much the line is changing at any time, instead of the slope of the entire line. How you take derivatives changes depending on the type of function you have, so review how to take common derivatives before moving on.
- Review taking derivatives here
- The most simple derivatives, those for basic polynomial equations, are easy to find using a simple shortcut. This will be used for the rest of the method.
-
2Understand what questions are asking for a slope using derivatives. You will not always be asked to explicitly find the derivative or slope of a curve. You might also be asked for the "rate of change at point (x,y). You could be asked for an equation for the slope of the graph, which simply means you need to take the derivative. Finally, you may be asked for "the slope of the tangent line at (x,y)." This, once again, just wants the slope of the curve at a specific point, (x,y).
- To calculate the slope of the tangent line, you need to take the first derivative, and add in the x value into your derivative to get your slope.
- For this method, consider the question: "What is the slope of the line at the point (4,2)?"[12]
- The derivative is often written as or
-
3
-
4Plug in your point to the derivative equation to get your slope. The differential of a function will tell you the slope of the function at a given point. In other words, f’(x) is slope of the function at any point (x,f(x)) So, for the practice problem:
- What is the slope of the line at the point (4,2)?
-
Derivative of Equation:
-
Plug in Point for x:
- Find the Slope:
- The slope of the at (4,2) is 22.
-
5Check your point against a graph whenever possible. Know that not all points in calculus will have a slope. Calculus gets into complex equations and difficult graphs, and not all points will have a slope, or even exist on every graph. Whenever possible, use a graphing calculator to check the slope of your graph. If you can't, draw the tangent line using your point and the slope (remember -- "rise over run") and note if it looks like it could be correct.[14]
- Tangent lines are just lines with the exact same slope as your point on the curve. To draw one, go up (positive) or down (negative) your slope (in the case of the example, 22 points up). Then move over one and draw a point. Connect the dots, (4,2) and (26,3) for your line.
Practice Problems and Answers
Our Most Loved Articles & Quizzes
Community Q&A
-
QuestionWhat is the slope for the equation y=1?
DonaganTop AnswererThe graph of y=1 is a straight, horizontal line, meaning that it does not rise or fall as it moves left or right. Its slope is therefore zero. -
QuestionWhat if the equation is like x+y=0 or x-y=0?
Community AnswerThat's no problem. When x+y=0, y=-x. In this case the slope is -1. On the other hand, when x-y=0, y=x. Here the slope is +1. -
QuestionWhat's the difference between a slope = 0 and slope = undefined?
DonaganTop AnswererA zero slope is a horizontal line (parallel to the x-axis), and an undefined slope is a vertical line (parallel to the y-axis).
References
- ↑ https://www.coolmath.com/algebra/08-lines/10-finding-slope-line-from-equation-01
- ↑ http://www.numbertheory.org/book/cha1.pdf
- ↑ https://www.ixl.com/math/grade-8/find-the-slope-of-a-graph
- ↑ http://www.mathwarehouse.com/algebra/linear_equation/slope-of-a-line.php
- ↑ https://content.byui.edu/file/b8b83119-9acc-4a7b-bc84-efacf9043998/1/Math-2-11-2.html
- ↑ http://www.mathwarehouse.com/algebra/linear_equation/slope-of-a-line.php
- ↑ http://www.virtualnerd.com/algebra-1/linear-equation-analysis/slope-rate-of-change/slope-examples/slope-from-graph
- ↑ https://content.byui.edu/file/b8b83119-9acc-4a7b-bc84-efacf9043998/1/Math-2-11-2.html
- ↑ http://www.mathwarehouse.com/algebra/linear_equation/slope-of-a-line.php
- ↑ https://www.alamo.edu/contentassets/ab5b70d70f264cec9097745e8f30ca0a/graphing/math0303-equations-of-a-line.pdf
- ↑ https://www.alamo.edu/contentassets/ab5b70d70f264cec9097745e8f30ca0a/graphing/math0303-equations-of-a-line.pdf
- ↑ https://www.math.ucdavis.edu/~kouba/CalcOneDIRECTORY/implicitdiffdirectory/ImplicitDiff.html
- ↑ https://openstax.org/books/calculus-volume-3/pages/1-2-calculus-of-parametric-curves
- ↑ https://www.sfu.ca/math-coursenotes/Math%20157%20Course%20Notes/sec_Slope.html
About This Article
To find the slope of a linear equation, start by rearranging the given equation into slope-intercept form, which is y = mx + b. In slope-intercept form, "m" is the slope and "b" is the y-intercept. The slope of the line is whatever number is multiplied on the "x" variable, so just solve the equation for "x" to figure out the slope! For tips on finding the slope when you're given two points on a graph, read on!





























-Step-24-Version-2.webp)




















-Step-24-Version-2.webp)




























