![]() | |
| Clinical data | |
|---|---|
| ATC code |
|
| Identifiers | |
| |
| CAS Number | |
| PubChem CID | |
| ChemSpider | |
| UNII | |
| ChEMBL | |
| CompTox Dashboard (EPA) | |
| ECHA InfoCard | 100.023.060 |
| Chemical and physical data | |
| Formula | C9H11Cl2N |
| Molar mass | 204.09 g·mol−1 |
| 3D model (JSmol) | |
| |
| |
| | |
3,4-Dichloroamphetamine (DCA), is an amphetamine derived drug invented by Eli Lilly in the 1960s, which has a number of pharmacological actions. It acts as a highly potent and selective serotonin releasing agent (SSRA) and binds to the serotonin transporter with high affinity,[1][2][3][4] but also acts as a selective serotonergic neurotoxin in a similar manner to the related para-chloroamphetamine, though with slightly lower potency.[5] It is also a monoamine oxidase inhibitor (MAOI),[6] as well as a very potent inhibitor of the enzyme phenylethanolamine N-methyl transferase which normally functions to transform noradrenaline into adrenaline in the body.[7][8]
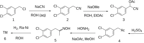
Synthesis
The reaction of 3,4-Dichlorobenzyl Chloride [102-47-6] (1) with cyanide anion gives 3,4-Dichlorophenylacetonitrile [3218-49-3] (2). Reaction with sodium methoxide and ethylacetate gives Alpha-Acetoxy-3,4-Dichlorobenzeneacetonitrile, CID:14318103 (3). Removal of the nitrile group in the presence of sulfuric acid gives 3,4-Dichlorophenylacetone [6097-32-1] (4). Oxime formation with hydroxylamine gives N-[1-(3,4-dichlorophenyl)propan-2-ylidene]hydroxylamine, CID:74315855 (5). Reduction of the oxime completed the synthesis of 3,4-Dichloroamphetamine (6).
See also
References
- ↑ Rodríguez GJ, Roman DL, White KJ, Nichols DE, Barker EL (July 2003). "Distinct recognition of substrates by the human and Drosophila serotonin transporters". The Journal of Pharmacology and Experimental Therapeutics. 306 (1): 338–46. doi:10.1124/jpet.103.048751. PMID 12682215. S2CID 17485209.
- ↑ Roman DL, Saldaña SN, Nichols DE, Carroll FI, Barker EL (February 2004). "Distinct molecular recognition of psychostimulants by human and Drosophila serotonin transporters". The Journal of Pharmacology and Experimental Therapeutics. 308 (2): 679–87. doi:10.1124/jpet.103.057836. PMID 14593087. S2CID 6439942.
- ↑ Walline CC, Nichols DE, Carroll FI, Barker EL (June 2008). "Comparative molecular field analysis using selectivity fields reveals residues in the third transmembrane helix of the serotonin transporter associated with substrate and antagonist recognition". The Journal of Pharmacology and Experimental Therapeutics. 325 (3): 791–800. doi:10.1124/jpet.108.136200. PMC 2637348. PMID 18354055.
- ↑ Wenthur CJ, Rodríguez GJ, Kuntz CP, Barker EL (November 2010). "Conformational flexibility of transmembrane helix VII of the human serotonin transporter impacts ion dependence and transport". Biochemical Pharmacology. 80 (9): 1418–26. doi:10.1016/j.bcp.2010.07.005. PMC 2942994. PMID 20637736.
- ↑ Fuller RW, Hines CW, Mills J (April 1965). "Lowering of brain serotonin level by chloramphetamines". Biochemical Pharmacology. 14 (4): 483–8. doi:10.1016/0006-2952(65)90221-2. PMID 14322972.
- ↑ Fuller RW, Walters CP (February 1965). "Inhibition of monoamine oxidase action on kynuramine by substrate amines and stereoisomeric α-methyl amines". Biochemical Pharmacology. 14 (2): 159–63. doi:10.1016/0006-2952(65)90071-7. PMID 14332461.
- ↑ Fuller RW, Mills J, Marsh MM (April 1971). "Inhibition of phenethanolamine N-methyl transferase by ring-substituted alpha-methylphenethylamines (amphetamines)". Journal of Medicinal Chemistry. 14 (4): 322–5. doi:10.1021/jm00286a012. PMID 5553744.
- ↑ Wu Q, Gee CL, Lin F, Tyndall JD, Martin JL, Grunewald GL, McLeish MJ (November 2005). "Structural, mutagenic, and kinetic analysis of the binding of substrates and inhibitors of human phenylethanolamine N-methyltransferase". Journal of Medicinal Chemistry. 48 (23): 7243–52. doi:10.1021/jm050568o. PMID 16279783.
- ↑ Harley M Hanson, U.S. Patent 3,215,598 (1965 to Merck and Co Inc).
- ↑ Charles Jackson Barnett, U.S. Patent 4,199,525 (1980 to Eli Lilly and Co).

