Cylindrical lenses.

A cylindrical lens is a lens which focuses light into a line instead of a point, as a spherical lens would. The curved face or faces of a cylindrical lens are sections of a cylinder, and focus the image passing through it into a line parallel to intersection of the surface of the lens and a plane tangent to it along the cylinder's axis. The lens converges or diverges the image in the direction perpendicular to this line, and leaves it unaltered in the direction parallel to its cylinder's axis (in the tangent plane).

A toric lens combines the effect of a cylindrical lens with that of an ordinary spherical lens.

The Cylindrical rod can magnify only those linear dimensions, which are perpendicular to its axis and cannot magnify linear dimensions, which are parallel to its axis.

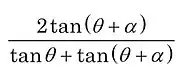
If a thin cylindrical rod is placed on a ruled white paper with the axis of the rod making an angle θ with the ruled lines, the lines will appear broken and tilted at some angle α as shown in the figure, the Refractive Index of the rod can be given as : [1]

Refractive Index

Uses

Uses in optometry

  • Cylindrical lenses are prescribed to correct astigmatism.[2]
  • Cross cylinder, which is a combination of two cylindrical lenses with equal strength and opposite power, is used in subjective refraction to diagnose astigmatism, and assess the strength and axis of the astigmatic power etc.[3]
  • Maddox rods, made up of cylindrical lenses arranged in parallel, are used to detect strabismus and diplopia.[4]

Other uses

  • In a light sheet microscope, a cylindrical lens is placed in front of the illumination objective to create the light sheet used for imaging.
  • Cylindrical lenses are used in optical spectrometers.[5]
  • Cylindrical lenses are used in holography.[6]
  • Doublet cylinder lens system is used in optical coherence tomography.[7]
  • Cylinder lenses are also used in many laser applications. A cylindrical lens can be used to create a laser line. A doublet cylinder lens is used to make laser sheets and circularize elliptical beams from laser diodes.[8]

See also

References

  1. Singh, Arvind Tiwari & Sachin (2016). Pathfinder for Olympiad and JEE (Advanced) Physics. Pearson India. ISBN 978-93-325-8139-5.
  2. Khurana, AK (September 2008). "Light and optics". Theory and practice of optics and refraction (2nd ed.). Elsevier. p. 24. ISBN 978-81-312-1132-8.
  3. "Jacksons Cross Cylinder (JCC)" (PDF). Journal of Kerala Society of Ophthalmic Surgeons.
  4. "Dissimilar Image Tests". www.aao.org.
  5. Fu, Xiao; Duan, Fajie; Jiang, Jiajia; Huang, Tingting; Ma, Ling; Lv, Changrong (1 October 2017). "Astigmatism-corrected echelle spectrometer using an off-the-shelf cylindrical lens". Applied Optics. 56 (28): 7861–7868. doi:10.1364/AO.56.007861. ISSN 2155-3165. PMID 29047771.
  6. Xiao, Dan; Wei, Rong; Liu, Su-Juan; Wang, Qiong-Hua (1 December 2018). "Holographic magnification system based on cylindrical lens". Optik. 174: 707–714. doi:10.1016/j.ijleo.2018.06.103. ISSN 0030-4026. S2CID 125502339.
  7. Shijun Xu, Xiaoling Ren (13 January 2017). "Fast Tomography Imaging System for Material Surface Based on Doublet-cylinder-lens in Intelligent OCT". ResearchGate.
  8. "Cylinder Lens | Edmund Optics". www.edmundoptics.com.

Other Sources

  • Jacobs, Donald H. Fundamentals of Optical Engineering. MC Graw-Hill Book Co., 1943.
This article is issued from Wikipedia. The text is licensed under Creative Commons - Attribution - Sharealike. Additional terms may apply for the media files.