Structure of an ether phospholipid. Note ether at first and second positions.
Plasmalogen. Note ether at first position, and ester at second position.
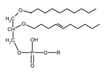
Platelet-activating factor. Note ether at first position, and acyl group at second position.

In biochemistry, an ether lipid refers to any lipid in which the lipid "tail" group is attached to the glycerol backbone via an ether bond at any position. In contrast, conventional glycerophospholipids and triglycerides are triesters.[1] Structural types include:

  • Ether phospholipids: phospholipids are known to have ether-linked "tails" instead of the usual ester linkage.[1]
    • Ether on sn-1, ester on sn-2: "ether lipids" in the context of bacteria and eukaryotes refer to this class of lipids. Compared to the usual 1,2-diacyl-sn-glycerol (DAG), the sn-1 linkage is replaced with an ester bond.[1][2][3]

      Based on whether the sn-1 lipid is unsaturated next to the ether linkage, they can be further divided into alkenyl-acylphospholipids ("plasmenylphospholipid", 1-0-alk-1’-enyl-2-acyl-sn-glycerol) and alkyl-acylphospholipids ("plasmanylphospholipid"). This class of lipids have important roles in human cell signaling and structure.[4]

    • Ether on sn-2 and sn-3: this class with flipped chirality on the phosphate connection is called an "archaeal ether lipid". With few (if any) exceptions, it is only found among archaea. The part excluding the phoshphate group is known as archaeol.[5][6]
  • Ether analogues of triglycerides: 1-alkyldiacyl-sn-glycerols (alkyldiacylglycerols) are found in significant porportions in marine animals.[5]
  • Other ether lipids: a number of other lipids not belonging to any of the classes above contain the ether linkage. For example, seminolipid, a vital part of the testes and sperm cells, has a ether linkage.[1]

The term "plasmalogen" can refer to any ether lipid with a vinyl ether linkage, i.e. ones with a carbon-carbon double bond next to the ether linkage. Without specification it generally refers to alkenyl-acylphospholipids, but "neutral plasmalogens" (alkenyldiacylglycerols) and "diplasmalogens" (dialkenylphospholipids) also exist.[1] The prototypical plasmalogen is platelet-activating factor.[7]

In eukaryotes

Biosynthesis

The formation of the ether bond in mammals requires two enzymes, dihydroxyacetonephosphate acyltransferase (DHAPAT) and alkyldihydroxyacetonephosphate synthase (ADAPS), that reside in the peroxisome.[8] Accordingly, peroxisomal defects often lead to impairment of ether-lipid production.

Monoalkylglycerol ethers (MAGEs) are also generated from 2-acetyl MAGEs (precursors of PAF) by KIAA1363.

Functions

Structural

Plasmalogens as well as some 1-O-alkyl lipids are ubiquitous and sometimes major parts of the cell membranes in mammals.[9] The glycosylphosphatidylinositol anchor of mammalian proteins generally consist of an 1-O-alkyl lipid.[1]

Second messenger

Differences between the catabolism of ether glycerophospholipids by specific phospholipases enzymes might be involved in the generation of lipid second messenger systems such as prostaglandins and arachidonic acid that are important in signal transduction.[10] Ether lipids can also act directly in cell signaling, as the platelet-activating factor is an ether lipid signaling molecule that is involved in leukocyte function in the mammalian immune system.[11]

Antioxidant

Another possible function of the plasmalogen ether lipids is as antioxidants, as protective effects against oxidative stress have been demonstrated in cell culture and these lipids might therefore play a role in serum lipoprotein metabolism.[12] This antioxidant activity comes from the enol ether double bond being targeted by a variety of reactive oxygen species.[13]

Synthetic ether lipid analogs

Synthetic ether lipid analogs have cytostatic and cytotoxic properties, probably by disrupting membrane structure and acting as inhibitors of enzymes within signal transmission pathways, such as protein kinase C and phospholipase C.

A toxic ether lipid analogue miltefosine has recently been introduced as an oral treatment for the tropical disease leishmaniasis, which is caused by leishmania, a protozoal parasite with a particularly high ether lipid content in its membranes.[14]

In archaea

The cell membrane of archaea consist mostly of ether phospholipids. These lipids have a flipped chirality compared to bacterial and eukaryotic membranes, a conundrum known as the "lipid divide". The "tail" groups are also not simply n-alkyl groups, but highly methylated chains made up of saturated isoprenoid units (e.g. phytanyl).[15]

Among different groups of archaea, diverse modifications on the basic archaeol backbone have emerged.

  • The two tails can be linked together, forming a macrocyclic lipid.[15]
  • Bipolar macrocyclic tetraether lipids (caldarchaeol), with two glycerol units connected by two C40 "tail" chains, form covalently linked 'bilayers'.[16][15]
    • Some such covelant bilayers feature crosslinks between the two chains, giving an H-shaped molecule.[15]
    • Crenarchaeol is a tetraether backbone with cyclopentane and cyclohexane rings on the cross-linked "tail"s.[15]
  • Some lipids replace the glycerol backbone with four-carbon polyols (tetriols).[15]

In bacteria

Ether phospholipids are major parts of the cell membrane in anaerobic bacteria.[1] These lipids can be variously 1-O-alkyl, 2-O-alkyl, or 1,2-O-dialkyl. Some groups have, like archaea, evolved tetraether lipids.[17]

In procaryotes

Some ether lipids found in marine animals are S-batyl alcohol, S-chimyl alcohol, and S-selachyl alcohol.

See also

References

  1. 1 2 3 4 5 6 7 Christie W. "Ether lipids - glyceryl ethers, plasmalogens, aldehydes, structure, biochemistry, composition and analysis". www.lipidmaps.org.
  2. Dean JM, Lodhi IJ (February 2018). "Structural and functional roles of ether lipids". Protein & Cell. 9 (2): 196–206. doi:10.1007/s13238-017-0423-5. PMC 5818364. PMID 28523433.
  3. Ford DA, Gross RW (July 1990). "Differential metabolism of diradyl glycerol molecular subclasses and molecular species by rabbit brain diglyceride kinase". The Journal of Biological Chemistry. 265 (21): 12280–6. doi:10.1016/S0021-9258(19)38342-5. PMID 2165056. S2CID 1042240.
  4. Dean, JM; Lodhi, IJ (February 2018). "Structural and functional roles of ether lipids". Protein & Cell. 9 (2): 196–206. doi:10.1007/s13238-017-0423-5. PMC 5818364. PMID 28523433.
  5. 1 2 Villanueva, Laura; von Meijenfeldt, F. A. Bastiaan; Westbye, Alexander B.; Yadav, Subhash; Hopmans, Ellen C.; Dutilh, Bas E.; Damsté, Jaap S. Sinninghe (January 2021). "Bridging the membrane lipid divide: bacteria of the FCB group superphylum have the potential to synthesize archaeal ether lipids". The ISME Journal. 15 (1): 168–182. Bibcode:2021ISMEJ..15..168V. doi:10.1038/s41396-020-00772-2. PMC 7852524. PMID 32929208.
  6. "Di- and Tetra-Alkyl Ether Lipids of the Archaea". lipidmaps.org.
  7. Watson RR, De Meester F, eds. (2014). Omega 3 fatty acids in brain and neurological health. Elsevier Academic Press. doi:10.1016/C2012-0-06006-1. ISBN 978-0-12-410527-0.
  8. Hajra AK (1995). "Glycerolipid biosynthesis in peroxisomes (microbodies)". Progress in Lipid Research. 34 (4): 343–64. doi:10.1016/0163-7827(95)00013-5. PMID 8685243.
  9. Paltauf F (December 1994). "Ether lipids in biomembranes". Chemistry and Physics of Lipids. 74 (2): 101–39. doi:10.1016/0009-3084(94)90054-X. PMID 7859340.
  10. Spector AA, Yorek MA (September 1985). "Membrane lipid composition and cellular function". Journal of Lipid Research. 26 (9): 1015–35. doi:10.1016/S0022-2275(20)34276-0. PMID 3906008. Archived from the original on 2008-10-10. Retrieved 2007-03-08.
  11. Demopoulos CA, Pinckard RN, Hanahan DJ (October 1979). "Platelet-activating factor. Evidence for 1-O-alkyl-2-acetyl-sn-glyceryl-3-phosphorylcholine as the active component (a new class of lipid chemical mediators)". The Journal of Biological Chemistry. 254 (19): 9355–8. doi:10.1016/S0021-9258(19)83523-8. PMID 489536.
  12. Brosche T, Platt D (August 1998). "The biological significance of plasmalogens in defense against oxidative damage". Experimental Gerontology. 33 (5): 363–9. doi:10.1016/S0531-5565(98)00014-X. PMID 9762517. S2CID 20977817.
  13. Engelmann B (February 2004). "Plasmalogens: targets for oxidants and major lipophilic antioxidants". Biochemical Society Transactions. 32 (Pt 1): 147–50. doi:10.1042/BST0320147. PMID 14748736.
  14. Lux H, Heise N, Klenner T, Hart D, Opperdoes FR (November 2000). "Ether--lipid (alkyl-phospholipid) metabolism and the mechanism of action of ether--lipid analogues in Leishmania". Molecular and Biochemical Parasitology. 111 (1): 1–14. doi:10.1016/S0166-6851(00)00278-4. PMID 11087912.
  15. 1 2 3 4 5 6 Caforio, Antonella; Driessen, Arnold J.M. (2017). "Archaeal phospholipids: Structural properties and biosynthesis" (PDF). Biochimica et Biophysica Acta (BBA) - Molecular and Cell Biology of Lipids. 1862 (11): 1325–1339. doi:10.1016/j.bbalip.2016.12.006. PMID 28007654. S2CID 27154462.
  16. Koga Y, Morii H (November 2005). "Recent advances in structural research on ether lipids from archaea including comparative and physiological aspects". Bioscience, Biotechnology, and Biochemistry. 69 (11): 2019–34. doi:10.1271/bbb.69.2019. PMID 16306681.
  17. Grossi, V; Mollex, D; Vinçon-Laugier, A; Hakil, F; Pacton, M; Cravo-Laureau, C (1 May 2015). "Mono- and dialkyl glycerol ether lipids in anaerobic bacteria: biosynthetic insights from the mesophilic sulfate reducer Desulfatibacillum alkenivorans PF2803T". Applied and Environmental Microbiology. 81 (9): 3157–68. Bibcode:2015ApEnM..81.3157G. doi:10.1128/AEM.03794-14. PMC 4393425. PMID 25724965.
This article is issued from Wikipedia. The text is licensed under Creative Commons - Attribution - Sharealike. Additional terms may apply for the media files.