Nuclide t12 Yield Q[a 1] βγ
(Ma) (%)[a 2] (keV)
99Tc 0.2116.1385294 β
126Sn 0.2300.10844050[a 3] βγ
79Se 0.3270.0447151 β
135Cs 1.336.9110[a 4]269 β
93Zr 1.535.457591 βγ
107Pd 6.51.249933 β
129I 15.70.8410194 βγ
  1. Decay energy is split among β, neutrino, and γ if any.
  2. Per 65 thermal neutron fissions of 235U and 35 of 239Pu.
  3. Has decay energy 380 keV, but its decay product 126Sb has decay energy 3.67 MeV.
  4. Lower in thermal reactors because 135Xe, its predecessor, readily absorbs neutrons.
Medium-lived
fission products
t½
(year)
Yield
(%)
Q
(keV)
βγ
155Eu 4.76 0.0803 252 βγ
85Kr 10.76 0.2180 687 βγ
113mCd 14.1 0.0008 316 β
90Sr 28.9 4.505 2826 β
137Cs 30.23 6.337 1176 βγ
121mSn 43.9 0.00005 390 βγ
151Sm 88.8 0.5314 77 β

Nuclear fission splits a heavy nucleus such as uranium or plutonium into two lighter nuclei, which are called fission products. Yield refers to the fraction of a fission product produced per fission.

Yield can be broken down by:

  1. Individual isotope
  2. Chemical element spanning several isotopes of different mass number but same atomic number.
  3. Nuclei of a given mass number regardless of atomic number. Known as "chain yield" because it represents a decay chain of beta decay.

Isotope and element yields will change as the fission products undergo beta decay, while chain yields do not change after completion of neutron emission by a few neutron-rich initial fission products (delayed neutrons), with half-life measured in seconds.

A few isotopes can be produced directly by fission, but not by beta decay because the would-be precursor with atomic number one greater is stable and does not decay. Chain yields do not account for these "shadowed" isotopes; however, they have very low yields (less than a millionth as much as common fission products) because they are far less neutron-rich than the original heavy nuclei.

Yield is usually stated as percentage per fission, so that the total yield percentages sum to 200%. Less often, it is stated as percentage of all fission products, so that the percentages sum to 100%. Ternary fission, about 0.2–0.4% of fissions, also produces a third light nucleus such as helium-4 (90%) or tritium (7%).

Mass vs. yield curve

Fission product yields by mass for thermal neutron fission of U-235, Pu-239, a combination of the two typical of current nuclear power reactors, and U-233 used in the thorium fuel cycle

If a graph of the mass or mole yield of fission products against the atomic number of the fragments is drawn then it has two peaks, one in the area zirconium through to palladium and one at xenon through to neodymium. This is because the fission event causes the nucleus to split in an asymmetric manner,[1] as nuclei closer to magic numbers are more stable.[2]

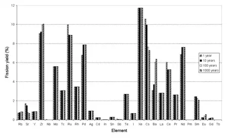
Yield vs. Z - This is a typical distribution for the fission of uranium. Note that in the calculations used to make this graph the activation of fission products was ignored and the fission was assumed to occur in a single moment rather than a length of time. In this bar chart results are shown for different cooling times (time after fission).

Yield vs Z. Colors indicate fluoride volatility, which is important in nuclear reprocessing: Blue elements have volatile fluorides or are already volatile; green elements do not but have volatile chlorides; red elements have neither, but the elements themselves are volatile at very high temperatures. Yields at 100,1,2,3 years after fission, not considering later neutron capture, fraction of 100% not 200%. Beta decay Kr-85Rb, Sr-90Zr, Ru-106Pd, Sb-125Te, Cs-137Ba, Ce-144Nd, Sm-151Eu, Eu-155Gd visible.

Because of the stability of nuclei with even numbers of protons and/or neutrons the curve of yield against element is not a smooth curve. It tends to alternate.

In general, the higher the energy of the state that undergoes nuclear fission, the more likely a symmetric fission is, hence as the neutron energy increases and/or the energy of the fissile atom increases, the valley between the two peaks becomes more shallow; for instance, the curve of yield against mass for Pu-239 has a more shallow valley than that observed for U-235, when the neutrons are thermal neutrons. The curves for the fission of the later actinides tend to make even more shallow valleys. In extreme cases such as 259Fm, only one peak is seen.

Yield is usually expressed relative to number of fissioning nuclei, not the number of fission product nuclei, that is, yields should sum to 200%.

The table in the next section ("Ordered by yield") gives yields for notable radioactive (with half-lives greater than one year, plus iodine-131) fission products, and (the few most absorptive) neutron poison fission products, from thermal neutron fission of U-235 (typical of nuclear power reactors), computed from .

The yields in the table sum to only 45.5522%, including 34.8401% which have half-lives greater than one year:

t½ in yearsYield
1 to 52.7252%
10 to 10012.5340%
2 to 300,0006.1251%
1.5 to 16 million13.4494%

The remainder and the unlisted 54.4478% decay with half-lives less than one year into nonradioactive nuclei.

This is before accounting for the effects of any subsequent neutron capture; e.g.:

  • 135Xe capturing a neutron and becoming nearly stable 136Xe, rather than decaying to 135Cs which is radioactive with a half-life of 2.3 million years
  • Nonradioactive 133Cs capturing a neutron and becoming 134Cs, which is radioactive with a half-life of 2 years
  • Many of the fission products with mass 147 or greater such as 147Pm, 149Sm, 151Sm, and 155Eu have significant cross sections for neutron capture, so that one heavy fission product atom can undergo multiple successive neutron captures.

Besides fission products, the other types of radioactive products are

Fission products from U-235

YieldElementIsotopeHalflifeComment
6.7896%Caesium 133Cs 134Cs 2.065 yNeutron capture (29 barns) slowly converts stable 133Cs to 134Cs, which itself is low-yield because beta decay stops at 134Xe; can be further converted (140 barns) to 135Cs.
6.3333%Iodine, xenon 135I 135Xe 6.57 hMost important neutron poison; neutron capture converts 10–50% of 135Xe to 136Xe; remainder decays (9.14h) to 135Cs (2.3 My).
6.2956%Zirconium 93Zr 1.53 MyLong-lived fission product also produced by neutron activation in zircalloy cladding.
6.1%Molybdenum 99Mo 65.94 hIts daughter nuclide 99mTc is important in medical diagnosing.
6.0899%Caesium 137Cs 30.17 ySource of most of the decay heat from years to decades after irradiation, together with 90
Sr
.
6.0507%Technetium 99Tc 211 kyCandidate for disposal by nuclear transmutation.
5.7518%Strontium 90Sr 28.9 ySource of much of the decay heat together with 137
Cs
on the timespan of years to decades after irradiation. Formerly used in radioisotope thermoelectric generators.
2.8336%Iodine 131I 8.02 dReason for the use of potassium iodide tablets after nuclear accidents or nuclear bomb explosions.
2.2713%Promethium 147Pm 2.62 ybeta decays to very long lived Samarium-147 (half life>age of the universe); has seen some use in radioisotope thermoelectric generators
1.0888%Samarium 149Sm Observationally stable2nd most significant neutron poison.
0.9%[3]Iodine 129I 15.7 MyLong-lived fission product. Candidate for disposal by nuclear transmutation.
0.4203%Samarium 151Sm 90 yNeutron poison; most will be converted to stable 152Sm.
0.3912%Ruthenium 106Ru 373.6 druthenium tetroxide is volatile and chemically aggressive; daughter nuclide 106
Rh
decays quickly to stable 106
Pd
0.2717%Krypton 85Kr 10.78 ynoble gas; has some uses in industry to detect fine cracks in materials via autoradiography
0.1629%Palladium 107Pd 6.5 MyLong-lived fission product; hampers extraction of stable isotopes of platinum group metals for use due to chemical similarity.
0.0508%Selenium 79Se 327 ky
0.0330%Europium, gadolinium 155Eu 155Gd 4.76 yBoth neutron poisons, most will be destroyed while fuel still in use.
0.0297%Antimony 125Sb 2.76 y
0.0236%Tin 126Sn 230 ky
0.0065%Gadolinium 157Gd stableNeutron poison.
0.0003%Cadmium 113mCd 14.1 yNeutron poison, most will be destroyed while fuel still in use.
Yields at 100,1,2,3 years after fission, probably of Pu-239 not U-235 because left hump is shifted right, not considering later neutron capture, fraction of 100% not 200%. Beta decay Kr-85Rb, Sr-90Zr, Ru-106Pd, Sb-125Te, Cs-137Ba, Ce-144Nd, Sm-151Eu, Eu-155Gd visible.

Cumulative fission yields

Cumulative fission yields give the amounts of nuclides produced either directly in the fission or by decay of other nuclides.

Cumulative fission yields per fission for U-235 (%)[4]
Product Thermal fission yield Fast fission yield 14-MeV fission yield
1
1
H
0.00171 ± 0.000180.00269 ± 0.000440.00264 ± 0.00045
2
1
H
0.00084 ± 0.000150.00082 ± 0.000120.00081 ± 0.00012
3
1
H
0.0108 ± 0.00040.0108 ± 0.00040.0174 ± 0.0036
3
2
He
0.0108 ± 0.00040.0108 ± 0.00040.0174 ± 0.0036
4
2
He
0.1702 ± 0.00490.17 ± 0.00490.1667 ± 0.0088
85
35
Br
1.304 ± 0.0121.309 ± 0.0431.64 ± 0.31
82
36
Kr
0.000285 ± 0.0000760.00044 ± 0.000160.038 ± 0.012
85
36
Kr
0.286 ± 0.0210.286 ± 0.0260.47 ± 0.1
85m
36
Kr
1.303 ± 0.0121.307 ± 0.0431.65 ± 0.31
90
38
Sr
5.73 ± 0.135.22 ± 0.184.41 ± 0.18
95
40
Zr
6.502 ± 0.0726.349 ± 0.0835.07 ± 0.19
94
41
Nb
0.00000042 ± 0.000000112.90±0.770 × 10−80.00004 ± 0.000015
95
41
Nb
6.498 ± 0.0726.345 ± 0.0835.07 ± 0.19
95m
41
Nb
0.0702 ± 0.00670.0686 ± 0.00710.0548 ± 0.0072
92
42
Mo
0 ± 00 ± 00 ± 0
94
42
Mo
8.70 × 10−10 ± 3.20 × 10−100 ± 06.20 × 10−8 ± 2.50 × 10−8
96
42
Mo
0.00042 ± 0.000150.000069 ± 0.0000250.0033 ± 0.0015
99
42
Mo
6.132 ± 0.0925.8 ± 0.135.02 ± 0.13
99
43
Tc
6.132 ± 0.0925.8 ± 0.135.02 ± 0.13
103
44
Ru
3.103 ± 0.0843.248 ± 0.0423.14 ± 0.11
106
44
Ru
0.41 ± 0.0110.469 ± 0.0362.15 ± 0.59
106
45
Rh
0.41 ± 0.0110.469 ± 0.0362.15 ± 0.59
121m
50
Sn
0.00106 ± 0.000110.0039 ± 0.000910.142 ± 0.023
122
51
Sb
0.000000366 ± 0.0000000980.0000004 ± 0.000000140.00193 ± 0.00068
124
51
Sb
0.000089 ± 0.0000210.000112 ± 0.0000340.027 ± 0.01
125
51
Sb
0.026 ± 0.00140.067 ± 0.0111.42 ± 0.42
132
52
Te
4.276 ± 0.0434.639 ± 0.0653.85 ± 0.16
129
53
I
0.706 ± 0.0321.03 ± 0.261.59 ± 0.18
131
53
I
2.878 ± 0.0323.365 ± 0.0544.11 ± 0.14
133
53
I
6.59 ± 0.116.61 ± 0.135.42 ± 0.4
135
53
I
6.39 ± 0.226.01 ± 0.184.8 ± 1.4
128
54
Xe
0 ± 00 ± 00.00108 ± 0.00048
130
54
Xe
0.000038 ± 0.00000980.000152 ± 0.0000550.038 ± 0.014
131m
54
Xe
0.0313 ± 0.0030.0365 ± 0.00310.047 ± 0.0049
133
54
Xe
6.6 ± 0.116.61 ± 0.135.57 ± 0.41
133m
54
Xe
0.189 ± 0.0150.19 ± 0.0150.281 ± 0.049
135
54
Xe
6.61 ± 0.226.32 ± 0.186.4 ± 1.8
135m
54
Xe
1.22 ± 0.121.23 ± 0.132.17 ± 0.66
134
55
Cs
0.0000121 ± 0.00000320.0000279 ± 0.00000730.0132 ± 0.0035
137
55
Cs
6.221 ± 0.0695.889 ± 0.0965.6 ± 1.3
140
56
Ba
6.314 ± 0.0955.959 ± 0.0484.474 ± 0.081
140
57
La
6.315 ± 0.0955.96 ± 0.0484.508 ± 0.081
141
58
Ce
5.86 ± 0.155.795 ± 0.0814.44 ± 0.2
144
58
Ce
5.474 ± 0.0555.094 ± 0.0763.154 ± 0.038
144
59
Pr
5.474 ± 0.0555.094 ± 0.0763.155 ± 0.038
142
60
Nd
6.30 × 10−9 ± 1.70 × 10−91.70 × 10−9 ± 4.80 × 10−100.0000137 ± 0.0000049
144
60
Nd
5.475 ± 0.0555.094 ± 0.0763.155 ± 0.038
147
60
Nd
2.232 ± 0.042.148 ± 0.0281.657 ± 0.045
147
61
Pm
2.232 ± 0.042.148 ± 0.0281.657 ± 0.045
148
61
Pm
5.00 × 10−8 ± 1.70 × 10−87.40 × 10−9 ± 2.50 × 10−90.0000013 ± 0.00000042
148m
61
Pm
0.000000104 ± 0.0000000391.78 × 10−8 ± 6.60 × 10−90.0000048 ± 0.0000018
149
61
Pm
1.053 ± 0.0211.064 ± 0.030.557 ± 0.09
151
61
Pm
0.4204 ± 0.00710.431 ± 0.0150.388 ± 0.061
148
62
Sm
0.000000149 ± 0.0000000412.43 × 10−8 ± 6.80 × 10−90.0000058 ± 0.0000018
150
62
Sm
0.000061 ± 0.0000220.0000201 ± 0.00000770.00045 ± 0.00018
151
62
Sm
0.4204 ± 0.00710.431 ± 0.0150.388 ± 0.061
153
62
Sm
0.1477 ± 0.00710.1512 ± 0.00970.23 ± 0.015
151
63
Eu
0.4204 ± 0.00710.431 ± 0.0150.388 ± 0.061
152
63
Eu
3.24 × 10−10 ± 8.50 × 10−110 ± 03.30 × 10−8 ± 1.10 × 10−8
154
63
Eu
0.000000195 ± 0.0000000644.00 × 10−8 ± 1.10 × 10−80.0000033 ± 0.0000011
155
63
Eu
0.0308 ± 0.00130.044 ± 0.010.088 ± 0.014
Cumulative fission yield per fission for Pu-239 (%)[4]
Product Thermal fission yield Fast fission yield 14-MeV fission yield
1
1
H
0.00408 ± 0.000410.00346 ± 0.00057-
2
1
H
0.00135 ± 0.000190.00106 ± 0.00016-
3
1
H
0.0142 ± 0.00070.0142 ± 0.0007-
3
2
He
0.0142 ± 0.00070.0142 ± 0.0007-
4
2
He
0.2192 ± 0.0090.219 ± 0.009-
85
35
Br
0.574 ± 0.0260.617 ± 0.049-
82
36
Kr
0.00175 ± 0.00060.00055 ± 0.0002-
85
36
Kr
0.136 ± 0.0140.138 ± 0.017-
85m
36
Kr
0.576 ± 0.0260.617 ± 0.049-
90
38
Sr
2.013 ± 0.0542.031 ± 0.057-
95
40
Zr
4.949 ± 0.0994.682 ± 0.098-
94
41
Nb
0.0000168 ± 0.00000450.00000255 ± 0.00000069-
95
41
Nb
4.946 ± 0.0994.68 ± 0.098-
95m
41
Nb
0.0535 ± 0.00660.0506 ± 0.0062-
92
42
Mo
0 ± 00 ± 0-
94
42
Mo
3.60 × 10−8 ± 1.30 × 10−84.80 × 10−9 ± 1.70 × 10−9-
96
42
Mo
0.0051 ± 0.00180.0017 ± 0.00062-
99
42
Mo
6.185 ± 0.0565.82 ± 0.13-
99
43
Tc
6.184 ± 0.0565.82 ± 0.13-
103
44
Ru
6.948 ± 0.0836.59 ± 0.16-
106
44
Ru
4.188 ± 0.0924.13 ± 0.24-
106
45
Rh
4.188 ± 0.0924.13 ± 0.24-
121m
50
Sn
0.0052 ± 0.00110.0053 ± 0.0012-
122
51
Sb
0.000024 ± 0.00000630.0000153 ± 0.000005-
124
51
Sb
0.00228 ± 0.000490.00154 ± 0.00043-
125
51
Sb
0.117 ± 0.0150.138 ± 0.022-
132
52
Te
5.095 ± 0.0944.92 ± 0.32-
129
53
I
1.407 ± 0.0861.31 ± 0.13-
131
53
I
3.724 ± 0.0784.09 ± 0.12-
133
53
I
6.97 ± 0.136.99 ± 0.33-
135
53
I
6.33 ± 0.236.24 ± 0.22-
128
54
Xe
0.00000234 ± 0.000000850.0000025 ± 0.0000012-
130
54
Xe
0.00166 ± 0.000560.00231 ± 0.00085-
131m
54
Xe
0.0405 ± 0.0040.0444 ± 0.0044-
133
54
Xe
6.99 ± 0.137.03 ± 0.33-
133m
54
Xe
0.216 ± 0.0160.223 ± 0.021-
135
54
Xe
7.36 ± 0.247.5 ± 0.23-
135m
54
Xe
1.78 ± 0.211.97 ± 0.25-
134
55
Cs
0.00067 ± 0.000180.00115 ± 0.0003-
137
55
Cs
6.588 ± 0.086.35 ± 0.12-
140
56
Ba
5.322 ± 0.0595.303 ± 0.074-
140
57
La
5.333 ± 0.0595.324 ± 0.075-
141
58
Ce
5.205 ± 0.0735.01 ± 0.16-
144
58
Ce
3.755 ± 0.033.504 ± 0.053-
144
59
Pr
3.756 ± 0.033.505 ± 0.053-
142
60
Nd
0.00000145 ± 0.00000040.00000251 ± 0.00000072-
144
60
Nd
3.756 ± 0.033.505 ± 0.053-
147
60
Nd
2.044 ± 0.0391.929 ± 0.046-
147
61
Pm
2.044 ± 0.0391.929 ± 0.046-
148
61
Pm
0.0000056 ± 0.00000190.000012 ± 0.000004-
148m
61
Pm
0.0000118 ± 0.00000440.000029 ± 0.000011-
149
61
Pm
1.263 ± 0.0321.275 ± 0.056-
151
61
Pm
0.776 ± 0.0180.796 ± 0.037-
148
62
Sm
0.0000168 ± 0.00000460.000039 ± 0.000011-
150
62
Sm
0.00227 ± 0.000780.0051 ± 0.0019-
151
62
Sm
0.776 ± 0.0180.797 ± 0.037-
153
62
Sm
0.38 ± 0.030.4 ± 0.18-
151
63
Eu
0.776 ± 0.0180.797 ± 0.037-
152
63
Eu
0.000000195 ± 0.000000050.00000048 ± 0.00000014-
154
63
Eu
0.000049 ± 0.0000120.000127 ± 0.000043-
155
63
Eu
0.174 ± 0.030.171 ± 0.054-
JEFF-3.1

Joint Evaluated Fission and Fusion File, Incident-neutron data, http://www-nds.iaea.org/exfor/endf00.htm, 2 October 2006; see also A. Koning, R. Forrest, M. Kellett, R. Mills, H. Henriksson, Y. Rugama, The JEFF-3.1 Nuclear Data Library, JEFF Report 21, OECD/NEA, Paris, France, 2006, ISBN 92-64-02314-3.

Yields at 100,1,2,3 years after fission, probably of Pu-239 not U-235 because left hump is shifted right, not considering later neutron capture, fraction of 100% not 200%. Beta decay Kr-85Rb, Sr-90Zr, Ru-106Pd, Sb-125Te, Cs-137Ba, Ce-144Nd, Sm-151Eu, Eu-155Gd visible.

Ordered by mass number

Decays, even if lengthy, are given down to the stable nuclide.

Decays with half lives longer than a century are marked with a single asterisk (*), while decays with a half life longer than a hundred million years are marked with two asterisks (**).

YieldIsotope
0.0508%selenium-79*bromine-79
0.2717%krypton-85rubidium-85
5.7518%strontium-90 yttrium-90zirconium-90
6.2956%zirconium-93 *niobium-93
6.0507%technetium-99*ruthenium-99
0.3912%ruthenium-106rhodium-106palladium-106
0.1629%palladium-107*silver-107
0.0003%cadmium-113mcadmium-113**indium-113
0.0297%antimony-125tellurium-125mtellurium-125
0.0236%tin-126 *antimony-126tellurium-126
0.9%iodine-129*xenon-129
2.8336%iodine-131xenon-131
6.7896%caesium-133 caesium-134barium-134
6.3333%iodine-135 xenon-135 caesium-135*barium-135
6.3333%iodine-135 xenon-135 xenon-136 (essentially stable)**barium-136
6.0899%caesium-137barium-137
2.2713%promethium-147samarium-147*neodymium-143
1.0888%samarium-149
0.4203%samarium-151
0.0330%europium-155 gadolinium-155
0.0065%gadolinium-157

Half lives, decay modes, and branching fractions

Half-lives and decay branching fractions for fission products[5]
NuclideHalf-lifeDecay modeBranching fractionSourceNotes
85
35
Br
2.9 ± 0.06 mβ1.0[6][lower-alpha 1]
85
36
Kr
10.752 ± 0.023 yβ1.0[7]
85m
36
Kr
4.48 ± 0.008 hIT0.214 ± 0.005[6]
β0.786 ± 0.005
90
38
Sr
28.8 ± 0.07 yβ1.0[8]
95
40
Zr
64.032 ± 0.006 dβ1.0[8]
94
41
Nb
(7.3 ± 0.9) × 106 dβ1.0[9]
95m
41
Nb
3.61 ± 0.03 dβ0.025 ± 0.001[8][lower-alpha 2]
IT0.975 ± 0.001
95
41
Nb
34.985 ± 0.012 dβ1.0[9]
99
43
Tc
(2.111 ± 0.012) × 105 yβ1.0[6]
103
44
Ru
39.247 ± 0.013 dβ1.0[9]
106
44
Ru
1.018 ± 0.005 yβ1.0[9]
106
45
Rh
30.1 ± 0.3 sβ1.0[9]
121m
50
Sn
55 ± 5 yβ0.224 ± 0.02[6]
IT0.776 ± 0.02
122
51
Sb
2.7238 ± 0.0002 dEC0.0241 ± 0.0012[6]
β0.9759 ± 0.0012
124
51
Sb
60.2 ± 0.03 dβ1.0[6]
125
51
Sb
2.7584 ± 0.0006 yβ1.0[9]
129
53
I
(5.89 ± 0.23) × 109 dβ1.0[9]
131
53
I
8.0233 ± 0.0019 dβ1.0[7]
133
53
I
20.87 ± 0.08 hβ1.0[8][lower-alpha 3]
135
53
I
6.57 ± 0.02 hβ1.0[6]
131m
54
Xe
11.930 ± 0.016 dIT1.0[7]
133
54
Xe
5.243 ± 0.001 dβ1.0[6]
133m
54
Xe
2.19 ± 0.01 dIT1.0[6]
135
54
Xe
9.14 ± 0.02 hβ1.0[6]
135m
54
Xe
15.29 ± 0.05 mβ0.003 ± 0.003[6][lower-alpha 4]
IT0.997 ± 0.003
134
55
Cs
2.063 ± 0.003 yEC0.000003 ± 0.000001[9][lower-alpha 5]
β0.999997 ± 0.000001
137
55
Cs
30.05 ± 0.08 yβ1.0[9]
140
56
Ba
12.753 ± 0.004 dβ1.0[7]
140
57
La
1.67850 ± 0.00017 dβ1.0[7]
141
58
Ce
32.508 ± 0.010 dβ1.0[8]
144
58
Ce
285.1 ± 0.6 dβ1.0[9]
144
59
Pr
17.28 ± 0.05 mβ1.0[6]
147
60
Nd
10.98 ± 0.01 dβ1.0[6]
147
61
Pm
2.6234 ± 0.0002 yβ1.0[6]
148m
61
Pm
41.29 ± 0.11 dIT0.042 ± 0.007[6]
β0.958 ± 0.007
148
61
Pm
5.368 ± 0.002 dβ1.0[6]
149
61
Pm
2.2117 ± 0.0021 dβ1.0[6]
151
61
Pm
1.1833 ± 0.0017 dβ1.0[6]
151
62
Sm
90 ± 6 yβ1.0[6]
153
62
Sm
1.938 ± 0.010 dβ1.0[9]
152
63
Eu
(4.941 ± 0.007) × 103 dβ0.279 ± 0.003[9][lower-alpha 6]
EC0.721 ± 0.003
154
63
Eu
(3.1381 ± 0.0014) × 103 dEC0.00018 ± 0.00013[9][lower-alpha 6]
β0.99982 ± 0.00013
155
63
Eu
4.753 ± 0.016 yβ1.0[9]
  1. β decay branches of 0.9982 ± 0.0002 to Kr-85m and 0.0018 ± 0.0002 to Kr-85.
  2. ENSDF branching fractions: 0.944 ± 0.007 for IT and 0.056 ± 0.007 for β.
  3. β decay branch of 0.0288 ± 0.0002 to Xe-133m.
  4. Branching fractions were averaged from ENSDF database.
  5. Branching fractions were adopted from ENSDF database.
  6. 1 2 Branching fractions were adopted from LNHB data.

Ordered by thermal neutron absorption cross section

BarnsYieldIsotopet½Comment
2,650,0006.3333% 135I 135Xe 6.57 hMost important neutron poison; neutron capture rapidly converts 135Xe to 136Xe; remainder decays (9.14 h) to 135Cs (2.3 My).
254,0000.0065% 157GdNeutron poison, but low yield.
40,1401.0888% 149Sm2nd most important neutron poison.
20,6000.0003% 113mCd 14.1 yMost will be destroyed by neutron capture.
15,2000.4203% 151Sm 90 yMost will be destroyed by neutron capture.
3,950
60,900
0.0330% 155Eu 155Gd 4.76 yBoth neutron poisons.
962.2713% 147Pm 2.62 ySuitable for radioisotope thermoelectric generators with annual or semi-annual refueling.
802.8336% 131I 8.02 d
29
140
6.7896% 133Cs 134Cs
2.065 y
Neutron capture converts a few percent of nonradioactive 133Cs to 134Cs, which has very low direct yield because beta decay stops at 134Xe; further capture will add to long-lived 135Cs.
206.0507% 99Tc 211 kyCandidate for disposal by nuclear transmutation.
180.6576% 129I 15.7 MyCandidate for disposal by nuclear transmutation.
2.76.2956% 93Zr 1.53 MyTransmutation impractical.
1.80.1629% 107Pd 6.5 My
1.660.2717% 85Kr 10.78 y
0.905.7518% 90Sr 28.9 y
0.150.3912% 106Ru 373.6 d
0.116.0899% 137Cs 30.17 y
0.0297% 125Sb 2.76 y
0.0236% 126Sn 230 ky
0.0508% 79Se 327 ky

References

  1. "fissionyield". Archived from the original on 2007-05-28. Retrieved 2007-06-10.
  2. Möller, P; Madland, DG; Sierk, AJ; Iwamoto, A (15 February 2001). "Nuclear fission modes and fragment mass asymmetries in a five-dimensional deformation space". Nature. 409 (6822): 785–790. Bibcode:2001Natur.409..785M. doi:10.1038/35057204. PMID 11236985. S2CID 9754793.
  3. Purkayastha, B. C., and G. R. Martin. "The yields of 129I in natural and in neutron-induced fission of uranium." Canadian Journal of Chemistry 34.3 (1956): 293-300.
  4. 1 2 "Cumulative Fission Yields". www-nds.iaea.org. IAEA. Retrieved 11 November 2016.
  5. "Half-lives and decay branching fractions for activation products". www-nds.iaea.org. IAEA. Retrieved 11 November 2016.
  6. 1 2 3 4 5 6 7 8 9 10 11 12 13 14 15 16 17 18 19 Evaluated Nuclear Structure Data File, http://www-nds.iaea.org/ensdf/, 26 January 2006.
  7. 1 2 3 4 5 M.-M. Bé, V. Chisté, C. Dulieu, E. Browne, V. Chechev, N. Kuzmenko, R. Helmer, A. Nichols, E. Schönfeld, R. Dersch, Monographie BIPM-5, Table of Radionuclides, Vol. 2 - A = 151 to 242, 2004.
  8. 1 2 3 4 5 Laboratoire National Henri Becquerel, Recommended Data, http://www.nucleide.org/DDEP_WG/DDEPdata.htm, 16 January 2006.
  9. 1 2 3 4 5 6 7 8 9 10 11 12 13 14 M.-M. Bé, V.P. Chechev, R. Dersch, O.A.M. Helene, R.G. Helmer, M. Herman, S. Hlavác, A. Marcinkowski, G.L. Molnár, A.L. Nichols, E. Schönfeld, V.R. Vanin, M.J. Woods, IAEA CRP "Update of X-ray and Gamma-ray Decay Data Standards for Detector Calibration and Other Applications", IAEA Scientific and Technical Information report STI/PUB/1287, May 2007, International Atomic Energy Agency, Vienna, Austria, ISBN 92-0-113606-4.
This article is issued from Wikipedia. The text is licensed under Creative Commons - Attribution - Sharealike. Additional terms may apply for the media files.