![]() | |
| Identifiers | |
|---|---|
| |
| CAS Number | |
| ChemSpider | |
| UNII | |
| Chemical and physical data | |
| Formula | C18H25NO2 |
| Molar mass | 287.403 g·mol−1 |
| 3D model (JSmol) | |
| |
| |
Moxazocine (BL-4566) is an opioid analgesic of the benzomorphan family which was never marketed.[1] It acts as a partial agonist or mixed agonist/antagonist of the opioid receptors and binds preferentially to the κ-opioid receptor.[2] Despite its failure to reach the market, clinical studies demonstrated moxazocine to be approximately 10x as potent by weight as morphine as an analgesic.[3]
Synthesis
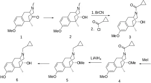
Reduction of the carbonyl group in oxygenated benzomorphan 1 affords the corresponding alcohol (2). This intermediate is then N-demethylated by means of BrCN. Acylation with cyclopropylcarbonyl chloride[6][7] gives the amide (3). The alcohol is then converted to the ether by treatment with MeI and base (4). Treatment with LiAlH4 serves to reduce the amide function. Cleavage of the phenolic ether by one of the standard schemes affords moxazocine (6).
See also
References
- ↑ Dictionary of Pharmacological Agents Volume 2. CRC Press. 1996-11-21. p. 1382. ISBN 978-0-412-46630-4. Retrieved 22 April 2012.
- ↑ Hayes AG, Sheehan MJ, Tyers MB (August 1987). "Differential sensitivity of models of antinociception in the rat, mouse and guinea-pig to mu- and kappa-opioid receptor agonists". British Journal of Pharmacology. 91 (4): 823–832. doi:10.1111/j.1476-5381.1987.tb11281.x. PMC 1853585. PMID 2822190.
- ↑ Dobkin AB, Esposito BF, Noveck RJ, Caruso FS (October 1977). "Moxazocine and morphine in patients with severe postoperative pain". Current Therapeutic Research. 22 (4): 469–478.
- ↑ DE 2517220, Montzka TA, Matiskella JD, "9-Alkoxy-5-methyl-6,7-benzomophane, VerfahrenE zu ihrer Herstellung und sie enthaltende Mittel [9-Alkoxy-5-methyl-6,7-benzomophanes, processes for their preparation and compositions containing them]", published 1975-11-06, assigned to Bristol-Myers Co.
- ↑ Montzka TA, Matiskella JD, Chem. Abstr. 84, 59832k (1976).
- ↑ Zhang K, Lu M, Li Y (2003). "Synthesis of Cyclopropanecarbonyl chloride". Chemical Industry Times. 17 (7): 36–38.
- ↑ U.S. Patent 5,504,245

