Punigluconin
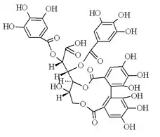
Chemical structure of  punigluconin
Names
Systematic IUPAC name
(2R,3S)-3-[(7R,8R)-1,2,3,8,13,14,15-Heptahydroxy-5,11-dioxo-5,8,9,11-tetrahydro-7H-dibenzo[g,i][1,5]dioxacycloundecin-7-yl]-2,3-bis[(3,4,5-trihydroxybenzoyl)oxy]propanoic acid
Other names
2,5-di-O-galloyl-4,6-O-(S)-hexahydroxy-diphenoyl-D-gluconic acid[1]
Identifiers
3D model (JSmol)
ChemSpider
UNII
  • InChI=1S/C34H26O23/c35-12-1-8(2-13(36)21(12)42)31(50)56-28(29(30(48)49)57-32(51)9-3-14(37)22(43)15(38)4-9)27-18(41)7-54-33(52)10-5-16(39)23(44)25(46)19(10)20-11(34(53)55-27)6-17(40)24(45)26(20)47/h1-6,18,27-29,35-47H,7H2,(H,48,49)/t18-,27-,28+,29-/m1/s1
    Key: KZEYIYXACMUTRM-WIMKJKQSSA-N
  • Oc1cc(cc(O)c1O)C(=O)O[C@@H](C(O)=O)[C@@H](OC(=O)c2cc(O)c(O)c(O)c2)[C@@H]4OC(=O)c5cc(O)c(O)c(O)c5c3c(O)c(O)c(O)cc3C(=O)OC[C@H]4O
Properties
C34H26O23
Molar mass 802.53 g/mol
Except where otherwise noted, data are given for materials in their standard state (at 25 °C [77 °F], 100 kPa).
Infobox references

Punigluconin is an ellagitannin, a polyphenol compound. It is found in the bark of Punica granatum (pomegranate)[2] and in Emblica officinalis.[3] It is a molecule having a hexahydroxydiphenic acid group and two gallic acids attached to a gluconic acid core.[1]

References

  1. 1 2 Tanaka Takashi; Tong Hui-Hong; Xu Ya-Ming; Ishimaru Kanji; Nonaka Gen-ichiro; Nishioka Itsuo (1992-11-25). "Tannins and Related Compounds. CXVII. Isolation and Characterization of Three New Ellagitannins, Lagerstannins A, B and C, Having a Gluconic Acid Core, from Lagerstroemia speciosa (L.) PERS". Chemical & Pharmaceutical Bulletin. 40 (11): 2975–2980. doi:10.1248/cpb.40.2975.
  2. Tanaka Takashi, Nonaka Gen-Ichiro & Nishioka Itsuo (1986-02-25). "Tannins and Related Compounds. XLI. : Isolation and Characterization of Novel Ellagitannins, Punicacorteins A, B, C, and D, and Punigluconin from the Bark of Punica granatum L". Chemical & Pharmaceutical Bulletin. 34 (2): 656–663. doi:10.1248/cpb.34.656.
  3. Bhattacharya, A; Chatterjee, A; Ghosal, S; Bhattacharya, SK (1999). "Antioxidant activity of active tannoid principles of Emblica officinalis (amla)". Indian Journal of Experimental Biology. 37 (7): 676–80. PMID 10522157.



This article is issued from Wikipedia. The text is licensed under Creative Commons - Attribution - Sharealike. Additional terms may apply for the media files.