|  | |
| Names | |
|---|---|
| IUPAC name (15E)-12,18-Dihydroxy-13,19-didehydrosenecionan-11,16-dione | |
| Other names Riddelline; Riddelliine; Riddeline; Riddelliin | |
| Identifiers | |
| 3D model (JSmol) | |
| ChemSpider | |
| PubChem CID | |
| UNII | |
| CompTox Dashboard (EPA) | |
| 
 | |
| 
 | |
| Properties | |
| C18H23NO6 | |
| Molar mass | 349.383 g·mol−1 | 
| Except where otherwise noted, data are given for materials in their standard state (at 25 °C [77 °F], 100 kPa). Infobox references | |
Riddelliine is a chemical compound classified as a pyrrolizidine alkaloid. It was first isolated from Senecio riddellii[1] and is also found in a variety of plants including Jacobaea vulgaris, Senecio vulgaris, and others plants in the genus Senecio.
Riddelliine can be found as a contaminant in foods such as meat, grains, seeds, milk, herbal tea, and honey.[2]
Riddelliine is suspected to be a carcinogen.[3] It is listed as an IARC Group 2B carcinogen and listed by the National Toxicology Program in its Report on Carcinogens which lists chemicals "known or reasonably anticipated to cause cancer in humans".[4]
Structure and Reactivity
Riddelliine is a naturally occurring pyrrolizidine alkaloid, a class of compounds occurring in rangeland plants of the genera Crotalaria, Amsinckia, and Senecio.[5] It consists of a macrocyclic diester of retronecine (an unsaturated alcohol) and riddelliic acid (an oxygenated, branched, dicarboxylic acid).[5] Riddelliine is a colorless to off-white crystalline solid at room temperature and has a melting point of 197° to 198 °C.[6] It is soluble in chloroform, acetone, and ethanol, and is sparingly soluble in water. As a solid, it is stable at room temperature in diffuse light for 12 months or longer.[5] Alcoholic and aqueous solutions of riddelliine are stable at room temperature when protected from light. It emits toxic fumes of nitrogenoxide when heated to decomposition.


Synthesis
Riddelliine is produced naturally by a variety of plants in the genus Senecio. In particular, the Senecio riddelliispecies (commonly referred to as Riddell's ragwort) can attribute up to 18% of its total weight to riddelliine and its N-oxide counterpart, riddelliine N-oxide.[7]
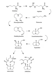
Like other pyrrolizidine alkaloids, the synthesis of riddelliine involves the conversion of ornithine and arginine into retronecine. A traced synthesis shows that arginine (or its precursor ornithine) is converted into putrescine, which then gets converted into homospermidine. Homospermidine is then oxidized into dialdehydeamine, which undergoes an intramolecular Mannich reaction to produce trachelanthamidine. Trachelanthamidine is converted into supinidine, the final intermediate to producing retronecine. Retronecine is then reacted with riddelliic acid to produce riddelliine.[8]
A chemical synthesis of riddelliine has not yet been established.

Mechanism
Riddelliine itself is not toxic; rather its metabolism in the liver contributes to its toxicity. Riddelliine can be hydrolyzed in the liver into riddelliine N-oxide, which like riddelliine is not a toxic substance. This pathway is considered a detoxicating reaction. On the other hand, riddelliine can be dehydrated by Cytochrome P450 to produce dehydroriddelliine. Two possible pathways emerge from this cytotoxic intermediate, both of which produce similar tumorigenic DNA adducts. Neither pathway has been proven to be the more predominate mechanism.
The first mechanism involves a movement of electrons intramolecularly to break the ester bond. This creates a carbocation that can bind to a DNA base covalently. By hydrolyzing the rest of the riddelliic acid from the original molecule, the resulting dehydropyrrolizine (DHP) can bind to another DNA base, which introduces a covalent cross-linking.[9]
The second mechanism involves hydrolyzing the riddelliic acid to produce dehydropyrrolizine (DHP). By hydrolyzing both hydroxyl groups attached at carbons 3 and 8 of DHP, the resulting carbocation can bind to two DNA bases, producing another cross-linked DNA adduct.[9]
In both cases, the covalently bonded DHP molecule can be further modified to induce stronger covalent bonding. To date, 8 DHP-derived DNA adducts have been observed, all of which contribute to the tumorigenicity of riddelliine.[9]
Toxicity
Riddelliine is isolated from plants grown in the western United States and is a prototype of genotoxic pyrrolizidine alkaloids (PAs). Human exposure to PAs occurs through consumption of herbal dietary supplements, including comfrey, and through contaminated livestock products (e.g., milk).[10] PAs are probably the most common plant constituents that poison livestock, wildlife, and humans worldwide.[11]
Riddelliine has been shown to have clear evidence of carcinogenic activity in male and female rats but there are no human studies done on the effects of riddelliine on humans.[5] There have been cases of human poisoning due to PA intake. These cases consists of the following incidents:
- Heliotrope poisoning is endemic in central Asia, where seeds of Heliotropium species enter the wheat crop. The typical clinical picture is that of ascites, hepatosplenomegaly, veno-occlusive disease of the liver, and abnormal liver function.[5]
- In South Africa, a disease known as "bread poisoning," found among poor Europeans, was traced to the inclusion of Senecio and Crotalaria seeds and flowers in whole grain processed for bread flour.[5]
- A veno-occlusive disease outbreak in Jamaica was traced to the widespread use of "bush tea," an herbal medicine used to treat children for colds. In the Southwest of the United States, the popular herbal tea, gordolobo yerba, is a potential hazard for exposure to toxic PAs.[5]
Indications
In rats gavaged with riddelliine, a set of DNA adducts of dehydroretronecine (DHS) in liver DNA can serve as biomarkers for the tumorigenicity induced by riddelliine and related pyrrolizidine alkaloids.[12]
Adverse Effects
Diseases
In humans, acute hepatic veno-occlusive disease was observed after the consumption of a herbal preparation containing riddelliine.[13]
Genotoxicity
In an in-vitro system, exposure to riddelliine caused sister chromatid exchange in human lymphocytes, DNA-protein cross linking in bovine kidney epithelial cells and gene mutations in bacteria.[13]
Carcinogenicity
There are no data on the carcinogenicity of riddelliine to humans, but based on experimental animal studies, riddelliine is classified as a Group 2B compound, which means that it is possibly carcinogenic to humans.[13]
Effects on animals
Riddelliine is toxic to animals, with ingestion being the most common method of exposure. In particular, riddelliine has a carcinogenic effect on rats and mice. In rats, oral administration of riddelliine led to an increase in hemangiosarcomas in the liver, cellular carcinomas and/or adenomas in the liver and mononuclear cell leukemia.[13] In mice, oral administration of riddelliine led to hemangiosarcomas in the liver in males and to broncho-alveolar adenomas and carcinomas in females.[13] Furthermore, during a 5 and 30 day study, where the rats and mice were force-fed riddelliine, there was unscheduled DNA synthesis in the cultured hepatocytes in male as well as female rats and mice.[14]
Riddelliine has also been known to disturb the estrus cycle in rodents.[13]
Riddelliine has also been observed to increase mutations in endothelial cells in the liver of rats. One study observed the characteristic nucleobases transversion of G:C to T:A, in which T:A amounts were elevated from 9% in the control group to 17% in the riddelliine-treated rats. In contrast, G:C→A:T transition, the major mutation in control rats that made up 54% of all mutations, was reduced to 40% of mutations in riddelliine-treated rats within the same study. These results suggest that the relatively high mutagenicity of riddelliine in rat liver endothelial cells may be partially responsible for the tumorigenic specificity of this agent.[11]
Toxicity has also been observed in bacteria, particular the Salmonella bacteria S. Typhimurium. When exposed to Riddelliine, the bacterial cell contains many mutations within the genetic strains.[5]
Clinical signs in poisoned animals include neurological, gastrointestinal (diarrhea), and hematologic (high blood ammonia, hemolysis) effects. Ascites is often observed. Molyneux et al. (1991) reported that calves fed Senecio riddellii, which contains only riddelliine and its N-oxide, for 20 days showed weight loss, signs of depression, reduced feed intake, ataxia of hind limbs, ascites, and edema before death.[15]
Microscopic examination revealed hepatocellular necrosis and collapse of lobules, increased numbers of fibroblasts and collagen, portal edema, anisokaryosis of hepatocyte nuclei with some cytomegaly, and bile duct proliferation.[5]
History
The first reported isolation of ‘Riddelliine’ was done by Richard H. F. Manske, a chemist at the National Research Laboratories in Ottawa, Ontario, Canada. This was handed in on the 13th December 1938 and published in the 17th volume, section B in the Canadian Journal of Research, January 1939.[6]
The formula was confirmed and a structure was added by Roger Adams, K.E. Hamlin, JR., C.F. Jelinek and R.F. Phillips in the Journal of the American Chemical Society 1942.[1]
See also
- Pyrrolizidine alkaloid, the large class of molecules containing riddelliine
- Senecionine, a closely related pyrrolizidine alkaloid
References
- 1 2  Adams, I. Roger; Hamlin, K. E., Jr.; Jelinek, C. F.; Phillips, R. F. (1942). "Structure of riddelliine, the alkaloid in Senecio riddellii ". Journal of the American Chemical Society. 64 (12): 2760–2763. doi:10.1021/ja01264a013.{{cite journal}}: CS1 maint: multiple names: authors list (link)
- ↑ NTP Technical Report on Toxicity Studies of Riddelliine Archived 2011-10-23 at the Wayback Machine, National Toxicology Program, Toxicity Report Series, Number 27
- ↑ National Toxicology, Program (2003). "Toxicology and carcinogenesis studies of riddelliine (CAS No. 23246-96-0) in F344/N rats and B6C3F1 mice (gavage studies)". National Toxicology Program Technical Report Series (508): 1–280. PMID 12844193.
- ↑ 12th Report on Carcinogens Archived 2011-06-25 at the Wayback Machine, National Toxicology Program
- 1 2 3 4 5 6 7 8 9 Chan, Po (December 1993). "NTP technical report on the toxicity studies of Riddelliine (CAS No. 23246-96-0) Administered by Gavage to F344 Rats and B6C3F1 Mice". Toxicity Report Series. 27: 1–D9. ISSN 1521-4621. PMID 12209179.
- 1 2 Manske, Richard H. F. (1939-01-01). "The Alkaloids of Senecio Species: Iii. Senecio Integerrimus, S. Longilobus, S. Spartioides and S. Ridellii". Canadian Journal of Research. 17b (1): 1–7. doi:10.1139/cjr39b-001. ISSN 1923-4287.
- ↑ "Riddelliine" (PDF). Report on Carcinogens. Retrieved 2018-12-04.
- ↑ "Journal of the Chemical Society, Chemical Communications". Journal of the Chemical Society, Chemical Communications. doi:10.1039/0022-4936/1972.
- 1 2 3 Chou, Ming W.; Jian, Yan; Williams, Lee D.; Xia, Qingsu; Churchwell, Mona; Doerge, Daniel R.; Fu, Peter P. (2003-09-01). "Identification of DNA Adducts Derived from Riddelliine, a Carcinogenic Pyrrolizidine Alkaloid". Chemical Research in Toxicology. 16 (9): 1130–1137. doi:10.1021/tx030018y. ISSN 0893-228X. PMID 12971801.
- ↑ Williams, L.; Chou, M. W.; Yan, J.; Young, J. F.; Chan, P. C.; Doerge, D. R. (2002-07-15). "Toxicokinetics of Riddelliine, a Carcinogenic Pyrrolizidine Alkaloid, and Metabolites in Rats and Mice". Toxicology and Applied Pharmacology. 182 (2): 98–104. doi:10.1006/taap.2002.9441. ISSN 0041-008X. PMID 12140173.
- 1 2 Mei, Nan; Guo, Lei; Liu, Ruqing; Fuscoe, James C.; Chen, Tao (2007-11-01). "Gene expression changes induced by the tumorigenic pyrrolizidine alkaloid riddelliine in liver of Big Blue rats". BMC Bioinformatics. 8 (7): S4. doi:10.1186/1471-2105-8-S7-S4. ISSN 1471-2105. PMC 2099496. PMID 18047727.
- ↑ Wang, Yu-Ping; Fu, Peter P.; Chou, Ming W. (May 2005). "Metabolic Activation of the Tumorigenic Pyrrolizidine Alkaloid, Retrorsine, Leading to DNA Adduct Formation In Vivo". International Journal of Environmental Research and Public Health. 2 (1): 74–79. doi:10.3390/ijerph2005010074. ISSN 1661-7827. PMC 3814699. PMID 16705803.
- 1 2 3 4 5 6  Official., Publication, IARC (2002). Some Traditional Herbal Medicines, Some Mycotoxins, Naphthalene and Styrene. Geneva: World Health Organization. ISBN 9789283215899. OCLC 476191138.{{cite book}}: CS1 maint: multiple names: authors list (link)
- ↑ Chan, Po C.; Haseman, Joseph K.; Prejean, J. D.; Nyska, Abraham (2003-10-15). "Toxicity and carcinogenicity of riddelliine in rats and mice". Toxicology Letters. 144 (3): 295–311. doi:10.1016/S0378-4274(03)00240-6. ISSN 0378-4274. PMID 12927348.
- ↑ Johnson, A. E.; Molyneux, R. J.; Stuart, L. D. (March 1985). "Toxicity of Riddell's groundsel (Senecio riddellii) to cattle". American Journal of Veterinary Research. 46 (3): 577–582. ISSN 0002-9645. PMID 3994126.
